오늘은 영남대학교의 3개년 정시 등급에 대해 포스팅해보도록 하겠습니다.

영남대학교
주소 : [경산캠퍼스] 경상북도 경산시 대학로 280
[대구캠퍼스] 대구광역시 남구 현충로 170
전화 : [경산캠퍼스] 053-810-2114
[대구캠퍼스] 053-640-6808
대학형태 : 사립 종합대학
재적학생수 : 28,090명
정시 모집 군 : 가, 나, 다군
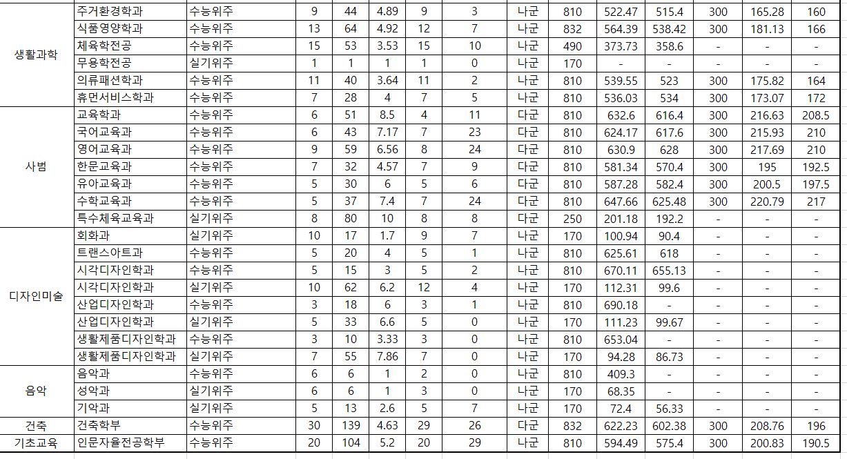
영남대학교는 지난 정시 모집 군을 공개하고 있지 않기에 경쟁률을 위주로 자료를 보도록 하겟씁니다.
2023년





작년 영남대학교의 군사학과, 항공운송학과, 무용학전공, 트랜스아트과(학생부교과이월), 음악학부(학생부교과이월)는 미달이었으며, 이외의 학과 중 가장 경쟁률이 높았던 학과는 문화인류학과(13.71:1), 글로벌통번역학부(12.33:1), 도시공학과(12.14:1) 순이었습니다.
2022년



2022학년도 영남대학교의 항공운송학과(항공운송학특별)는 미달이었으며, 이외의 학과 중 가장 경쟁률이 높았던 학과는 특수체육교육과(10:1), 정치외교학과(9.5:1), 새마을국제개발학과(9.14:1) 순이었습니다.
2021년



2021학년도 영남대학교의 무용학전공, 음악과는 미달이었으며, 이외의 학과 중 가장 경쟁률이 높았던 학과는 의예과(7.03:1), 물리학과(6.25:1), 화학생화학과(5.68:1) 순이었습니다.
'입시정보 > 정시 대비 3개년 4년제 정시 입결' 카테고리의 다른 글
| [4년제/전라남도 영광군] 2024학년도 정시 대비 영산선학대학교 작년(2023년) 정시 등급 (0) | 2024.01.12 |
|---|---|
| [4년제/부산광역시/경상남도 양산시] 2024학년도 정시 대비 영산대학교 3개년 정시 등급 (2021~2023년) (0) | 2024.01.12 |
| [4년제/강원특별자치도 원주시] 2024학년도 정시 대비 연세대학교 미래캠퍼스 작년(2023년) 정시 등급 (0) | 2024.01.12 |
| [4년제/서울특별시/인천광역시] 2024학년도 정시 대비 연세대학교 3개년 작년(2023년) 정시 등급 (0) | 2024.01.12 |
| [4년제/경상북도 안동시] 2024학년도 정시 대비 안동대학교 3개년 정시 등급 (2021~2023년) (0) | 2024.01.11 |
댓글