728x90
반응형
SMALL
오늘은 영산대학교의 3개년 정시 등급에 대해 포스팅하도록 하겠습니다.

영산대학교
주소 : [해운대캠퍼스] 부산광역시 해운대구 반송순환로 142
[양산캠퍼스] 경상남도 양산시 주남로 288
전화 : [해운대캠퍼스] 051-540-7000
[양산캠퍼스] 055-380-9114
대학형태 : 사립 종합대학
재적학생수 : [해운대캠퍼스] 4,388명
[양산캠퍼스] 2,612명
정시 모집 군 : 다군
영산대학교는 모든 과의 신입생을 다군에서 모집하고 있습니다. 경쟁률은 따로 공개하고 있지 않기 때문에 자료만 올리도록 하겠습니다.
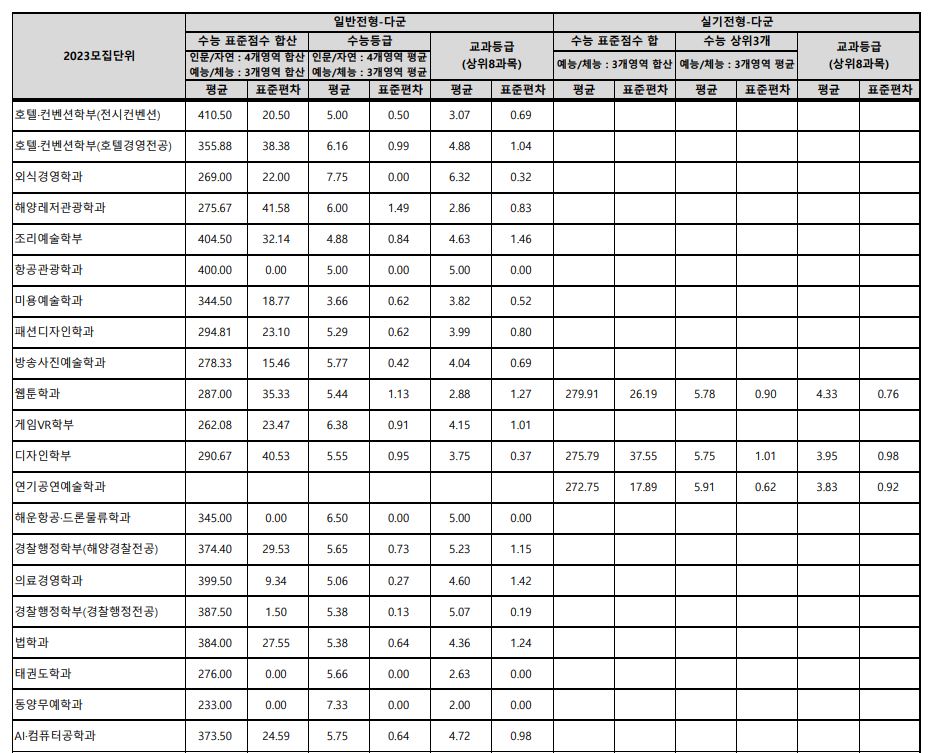
2023년


2022년


2021년


728x90
반응형
LIST
'입시정보 > 정시 대비 3개년 4년제 정시 입결' 카테고리의 다른 글
| [4년제/전라북도 전주시] 2024학년도 정시 대비 예수대학교 3개년 정시 등급 (2021~2023년) (0) | 2024.01.12 |
|---|---|
| [4년제/전라남도 영광군] 2024학년도 정시 대비 영산선학대학교 작년(2023년) 정시 등급 (0) | 2024.01.12 |
| [4년제/경상북도 경산시/대구광역시] 2024학년도 정시 대비 영남대학교 3개년 정시 등급 (2021~2023년) (0) | 2024.01.12 |
| [4년제/강원특별자치도 원주시] 2024학년도 정시 대비 연세대학교 미래캠퍼스 작년(2023년) 정시 등급 (0) | 2024.01.12 |
| [4년제/서울특별시/인천광역시] 2024학년도 정시 대비 연세대학교 3개년 작년(2023년) 정시 등급 (0) | 2024.01.12 |
댓글